Skip to content Skip to sidebar Skip to footer

How To Find The Sum Of A Series Calculus : A series of numbers (e.g.

How To Find The Sum Of A Series Calculus : A series of numbers (e.g.. We will call ∞ ∑ i=1ai ∑ i = 1 ∞ a i an infinite series and note that the series "starts" at i =1 i = 1 because that is where our original sequence, {an}∞ n=1 { a n } n = 1 ∞ , started. S n b 1 q n 1 q 1 An arithmetic series is the sum of the terms of an. In our case the series is the decreasing geometric progression with ratio 1/3. Sn = n 2 ⋅(a1 +an) s n = n 2 ⋅ ( a 1 + a n) this is an arithmetic sequence since there is a common difference between each term.

Learn how to find the partial sum of an arithmetic series. We'll do all your math homework | a/b guarantee. What is infinite series in calculus? May 31, 2018 · lim n→∞ sn = lim n→∞ n ∑ i=1ai = ∞ ∑ i=1ai lim n → ∞. An arithmetic series is the sum of the terms of an.

Calculus 2 Infinite Sequences And Series 37 Of 62 The Geometric Series Example 1 Youtube
Calculus 2 Infinite Sequences And Series 37 Of 62 The Geometric Series Example 1 Youtube from i.ytimg.com
In our case the series is the decreasing geometric progression with ratio 1/3. Learn how to find the partial sum of an arithmetic series. What is the sum of the alternating series? Plus, you can always find a solution for the sum of a finite series. An arithmetic series is the sum of the terms of an. Therefore, to calculate series sum, one needs somehow to find the expression of the partial series sum (sn). What are some examples of infinite series? A finite series is a sum of a set amount of terms;

Therefore, to calculate series sum, one needs somehow to find the expression of the partial series sum (sn).

It is known that the sum of the first n elements of geometric progression can be calculated by the formula: A series is the sum of the terms of a sequence. What is the sum of the alternating series? By the ratio test, it is convergent. May 31, 2018 · so, to determine if the series is convergent we will first need to see if the sequence of partial sums, { n ( n + 1) 2 } ∞ n = 1 { n ( n + 1) 2 } n = 1 ∞. S n b 1 q n 1 q 1 Sn = n 2 ⋅(a1 +an) s n = n 2 ⋅ ( a 1 + a n) this is an arithmetic sequence since there is a common difference between each term. We'll do all your math homework | a/b guarantee. May 31, 2018 · lim n→∞ sn = lim n→∞ n ∑ i=1ai = ∞ ∑ i=1ai lim n → ∞. Therefore, to calculate series sum, one needs somehow to find the expression of the partial series sum (sn). We'll do all your math homework | a/b guarantee. An arithmetic series is the sum of the terms of an. How do you calculate the sum of a series?

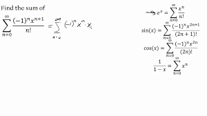
For the first sum, consider $f(x) = \displaystyle \sum_{n=0}^{\infty} x^n$ where $|x| < 1$. Learn how to find the partial sum of an arithmetic series. May 31, 2018 · lim n→∞ sn = lim n→∞ n ∑ i=1ai = ∞ ∑ i=1ai lim n → ∞. That's not terribly difficult in this case. What is infinite series in calculus?

Ap Calculus Bc Exam Series Question 1 Ap Math Forbest Academy
Ap Calculus Bc Exam Series Question 1 Ap Math Forbest Academy from www.forbest.com
In our case the series is the decreasing geometric progression with ratio 1/3. A series of numbers (e.g. That's not terribly difficult in this case. S n b 1 q n 1 q 1 May 31, 2018 · so, to determine if the series is convergent we will first need to see if the sequence of partial sums, { n ( n + 1) 2 } ∞ n = 1 { n ( n + 1) 2 } n = 1 ∞. A series is the sum of the terms of a sequence. May 31, 2018 · lim n→∞ sn = lim n→∞ n ∑ i=1ai = ∞ ∑ i=1ai lim n → ∞. A finite series is a sum of a set amount of terms;

We'll do all your math homework | a/b guarantee.

We'll do all your math homework | a/b guarantee. Plus, you can always find a solution for the sum of a finite series. ∑ i = 1 n a i = ∑ i = 1 ∞ a i. For the first sum, consider $f(x) = \displaystyle \sum_{n=0}^{\infty} x^n$ where $|x| < 1$. What is the sum of the alternating series? That's not terribly difficult in this case. May 31, 2018 · so, to determine if the series is convergent we will first need to see if the sequence of partial sums, { n ( n + 1) 2 } ∞ n = 1 { n ( n + 1) 2 } n = 1 ∞. This is the formula to find the sum of the first n n terms of the sequence. The limit of the sequence terms is, lim n → ∞ n ( n + 1) 2 = ∞ lim n → ∞ ⁡ n ( n + 1) 2 = ∞. S n b 1 q n 1 q 1 It is known that the sum of the first n elements of geometric progression can be calculated by the formula: What are some examples of infinite series? Learn how to find the partial sum of an arithmetic series.

A series is the sum of the terms of a sequence. By the ratio test, it is convergent. Learn how to find the partial sum of an arithmetic series. S n b 1 q n 1 q 1 A finite series is a sum of a set amount of terms;

Finite Series Tutorial
Finite Series Tutorial from calculus.nipissingu.ca
Therefore, to calculate series sum, one needs somehow to find the expression of the partial series sum (sn). This is the formula to find the sum of the first n n terms of the sequence. What are some examples of infinite series? That's not terribly difficult in this case. What is infinite series in calculus? May 31, 2018 · so, to determine if the series is convergent we will first need to see if the sequence of partial sums, { n ( n + 1) 2 } ∞ n = 1 { n ( n + 1) 2 } n = 1 ∞. In our case the series is the decreasing geometric progression with ratio 1/3. A series of numbers (e.g.

An arithmetic series is the sum of the terms of an.

We'll do all your math homework | a/b guarantee. Learn how to find the partial sum of an arithmetic series. Therefore, to calculate series sum, one needs somehow to find the expression of the partial series sum (sn). A series is the sum of the terms of a sequence. What are some examples of infinite series? Finite series always have a first term and a last term. That's not terribly difficult in this case. S n = lim n → ∞. A series of numbers (e.g. May 31, 2018 · lim n→∞ sn = lim n→∞ n ∑ i=1ai = ∞ ∑ i=1ai lim n → ∞. The limit of the sequence terms is, lim n → ∞ n ( n + 1) 2 = ∞ lim n → ∞ ⁡ n ( n + 1) 2 = ∞. 1 + 2 + 3) is obtained from a sequence of numbers (e.g. We will call ∞ ∑ i=1ai ∑ i = 1 ∞ a i an infinite series and note that the series "starts" at i =1 i = 1 because that is where our original sequence, {an}∞ n=1 { a n } n = 1 ∞ , started.

What is infinite series in calculus? how to find the sum of a series. This is the formula to find the sum of the first n n terms of the sequence.